Jul 23, 2019
7.2 Optimal Design of the Axial Turbines Flow Paths Taking into Consideration the Mode of Operation

Key Symbols
Indexes and Other Signs
Abbreviations
For demonstration of opportunities of the developed complex of the methods, algorithms and mathematical models for solving the problems of optimal design of the turbine units taking into account their mode of operation [38, 40–42] the results of optimization research of turbine expander flow path and of gas turbine unit GTU GT-750-6M low pressure turbine flow path are presented below.
7.2.1 Optimization of Rendering Turbine Expander Unit (RTEU) Flow Path of 4 MW Capacity With Rotary Nozzle Blades
In gas pipelines, natural gas is transported under the pressure 35–75 atmospheres. Before serving the natural gas to the consumer its pressure must be lowered to the level of pressures local supply systems. At the moment gas distribution stations widely are using technologies of utilization of natural gas let-down pressure before serving the consumer. To extract energy from compressed gas the special rendering turbine expander units (RTEU) are used in which the potential overpressure energy is converted into mechanical work of a rotor rotation of a turbine, which serves as generator drive.
Seasonal unevenness of natural gas consumption, usually caused by environmental temperature, leads to a deeply no projected RTEU operation modes and adversely affect their performance and service life. For example, the gas flow through the flow path of the RTEU during the year may vary in ranges from 0.25–0.35 to 1.05–1.25 from the rated value. The foregoing attests to the relevance and necessity of taking into account the factor variability of operation loads during the selection of the basic geometric parameters of the RTEU FP.
This section provides results of optimization of 4-stage flow path of existing design of RTEU taking into account real operation modes of it, using the developed algorithm [40].
Operating conditions of the considered RTEU are characterized by significant monthly uneven mass flow rate of the working fluid through the flow path of the unit with fixed heat drop and rotor speeds:
The mass flow rate of natural gas, depending on the operating mode, changed in the range from 4.94 to 20.66 kg/s (the mass flow rate at the design mode is Gnom = 16.66 kg/s).
At present several ways to regulate the mass flow through the RTEU FP are known. The changing of the walk-through sections of nozzle cascade (NC), thanks to the use of rotary nozzle blades, is the most effective.
It is known that the implementation of the rotary nozzle blades can significantly extend the range of workloads of the turbine installation and improve performance indicators of FP. However, to get the maximum effect from the rotation of the nozzle blades, there is a need to further address the challenge of defining optimal angles α1e for each stage, depending on the
operating mode of the RTEU FP.
In accordance with the terms of the design, mass flow regulation of the working fluid through the flow path of the RTRU has been carried out by turning of the nozzle blades (changing the outlet angles α1e) of all stages. Optimization was carried out taking into account the 12 operational modes of turbine expander (one month duration of each mode). The mass flows of natural gas through the FP for the specified modes are shown in the Table 7.4.
Two levels of recursive optimization algorithm (section 1.2.1) – “Cylinder” (Layer 1 and Layer 2) and “Stage” were involved in the optimization process. At the level of “Cylinder” recursive optimization algorithm is called on not only for “Stage” level but for Layer 1 and Layer 2. As can be seen from Fig. 7.5, at the top level “Cylinder” (Layer 1) the vector of varied parameters of created FMM has been generated from 16 parameters, one of which is operational mode (the mass flow at the cylinder inlet – G0) and the remaining 15 are design parameters.
They included effective outlet flow angles from nozzle and blades (α1e, β1e), and average diameters and heights of the blade wheel cascades (D2 and l2). Mean diameters and heights of nozzle wheel cascades (D1 and l1) for each stage were determined based on values similar to the parameters of the blade wheel cascades taking into account recommendations about overlap size for each RTEU stage.
At the below laying level “Stage” for each stage except the first the vector of varied parameters of FMM was formed of 9 parameters (D2,l2, α1 β2, u/C0,z1,2, b1,2).
The sequence of the general optimization task solution looks as follows. Previously, using the DOE theory (paragraph 1.3) the FMMs of the level “Stage” were created in the form of full quadratic polynomials (1.2). The FMM of the “Cylinder” level (Layer 1) was build next.
According to a design of experiment matrix from top level “Cylinder” to level”Stage” parametric restrictions in the form of values D2,l2, α1e β2e, u/C0 arrive. Concrete level of these parameters is defined by a current point of the plan of numerical experiment of level “Cylinder” (Layer 1). At level “Stage” taking into account the arrived parametric restrictions local optimization tasks by definition of optimal values of blades numbers (z1,2) and chords values (b1,2) of nozzle and blade wheel cascades of each stage are solved.
The received optimal values of these parameters are passed to the top level “Cylinder” (Layer 2) for calculation of the optimal angles α1e along the FP depending on the mass flow of working fluid at the entrance to the turbine expander.
At the end of the optimization process under optimal values of “Cylinder”-level parameters, except values of chords and numbers of blades, inlet metal angles of nozzle and blade wheel cascades of each stage are specified. The values of the specified angles are defined taking into account a weight part of quality criterion of each operational mode.
As quality criterion for an estimation of the flow path efficiency at the level “Cylinder” the value equal to total work of the cylinder for a selected period of time one year (T)
defined according to the developed mathematical model (section 2.2.3), was used. Given the assumption that the duration of the modes is the same, this criterion was reduced to the sum of the “regime” cylinder capacity
where n is the number of modes). To assess the quality criterion at “Stage” level the internal relative efficiency of the corresponding stage was used.
Since this task was solved for the FP with standard type of the nozzles profiles H-2, changing the angle α1e takes into account and corresponding changing of the inlet metal angle of the nozzle wheel cascade (α0g). When calculating the losses, associated with incidence angles at the inlet of the cascade, the influence of the blade’s inlet flow angle on the losses in accordance with experimental data was taken into account.
Inlet metal angles of the blade wheel cascade for each stage were determined by averaging their values across 12 modes of operations taking into account weight proportion of quality criterion of each mode.
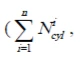
The values of the “basic” design parameters, obtained by solving the general optimization task, are listed in the Table 7.5.
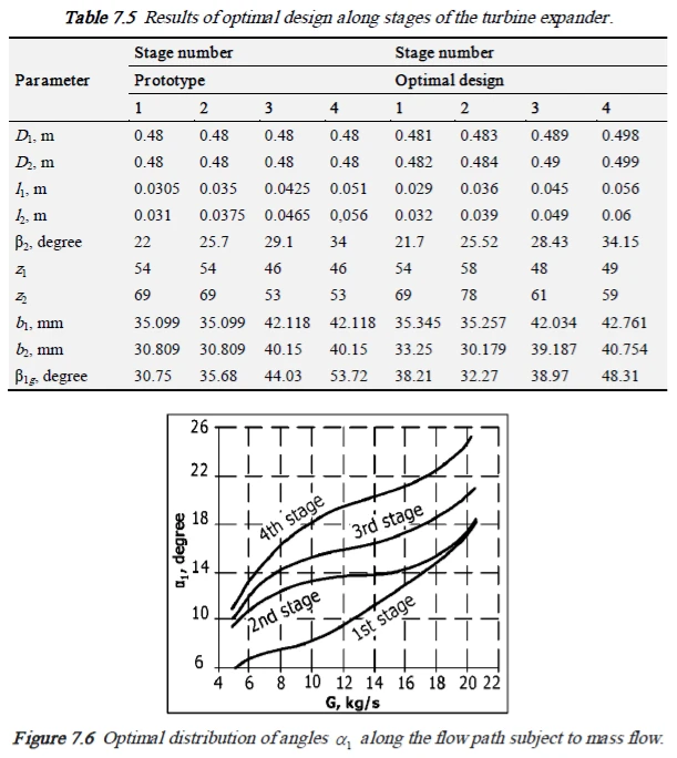
The received distributions of angles α1 for each stage of the flow path as functions of mass flow change are presented in Fig. 7.6. Apparently from Fig. 7.6 optimal curves of angles differ greatly from the linear curve received at uniform simultaneous turn of nozzles.
Efficiency of an initial design of the flow path with synchronous turn of all nozzles and efficiency of the design received as result of optimal design with the optimal law of angles α1 change by operation modes are presented in Fig. 7.7. The efficiency of the received flow path essentially surpasses efficiency of initial flow path on all operation modes (Fig. 7.7). Significant improvements in efficiency has been observed in the low mass flow modes of operation (up to 5%), as well as to the modes of mass flow greater than 18 kg/s. Additional generation of electricity for operating cycle is equal to 914.793 MWh (3.64%).
It is obvious, that it is impossible to create the flow path equally well working in a range of loadings from 30 to 125% of the nominal. So the efficiency of any flow path on modes with low mass flows remains at low enough level due to the great values of incidence angles, negative degrees of reaction, a substantial redistribution of disposable heat drop, offset u/C0 of the stages aside from optimal values.
The gain of optimal variant, in comparison with initial variant of design, on modes with low mass flows is provided by selection of optimal angles α1 for all nozzle cascades along the flow path. As can be seen from Fig. 7.6 for optimal variant of RTEU FP, when small mass flow rate, value of the 1st stage angle α1e significantly lower compared to the values of the same angles of subsequent stages, that increases its heat drop and value of output velocity from the nozzle cascade (velocity c1 close to the speed of sound Mc1 = 0.997).
Despite some deterioration in the effectiveness of 1st stage, this solution allowed unload the subsequent stages and significantly improve their work conditions (positive degree of reaction on the mean radius of the second and third stages has been achieved) and get a positive final outcome.
On operation modes with the mass flow close to or surpassing on-design, increase of efficiency of the flow path became possible due to selection of an optimal combination of “base” design parameters (D1,2,l1,2, β1g, β2e, z1,2, b1,2) for each stage. This helped to reduce the losses associated with the inlet of the
working fluid on the cascades and exit velocity losses, as well as to improve the efficiency of the nozzle and blade wheel cascades. Also on the considered operation modes there is a redistribution of heat drops between the stages: reducing load of 1st and 4th stages and increasing load of 2nd and 3rd.
7.2.2 Optimal Design of Gas Turbine Flow Path Considering Operational Modes
In the current section the example of applying developed methods and algorithms for the solution of the problem of optimization of gas turbine flow path taking into account the modes of operations is given. As the object of study the gas turbine installation GТ-750-6M was chosen [40]. This GTU is used at the compressor station as a driver of gas-compressor unit. Selection of the specified unit is linked to the fact that such installations are quite widespread in the gas transportation system of Ukraine and more than 80% of them exhausted its resource.
In addition, the authors had at their disposal all the necessary project documentation and the results of the field tests of the manufacturer that was the necessary condition for optimization and the validation of the computational research results.
Optimization of FP of the low-pressure turbine installation GT-750M was carried out taking into account the actual operating loads and the inclusion in consideration of the thermal scheme (TS) of installation.
A direct one-dimensional flow model through the axial turbines FP (section 2.2.3) and the procedure of thermal schemes calculation of GTU (section 2.5) were involved in this case. A screenshot of a window of the specialized CAD system with active project of GT-750M installation is presented at Fig. 7.8. One-dimensional mathematical model of the turbine stages group is used in the process of solving common optimization tasks and to build the universal characteristics of the gas turbines, and the model of thermodynamic processes in thermal schemes of GTU – for thermodynamic calculation of the unit’s thermal cycle (TC) for real operating modes.
Thermal cycle scheme consists of the following main elements: compressor (C); combustion chamber (CC); high pressure turbine (HPT), located on the same shaft with compressor; free power turbine low pressure (LPT); regenerator (R); external consumer of net power – natural gas blower (B). As can be seen from Fig. 7.8, GT-750-6М is a split-shaft gas turbine unit with waste-heat recovery.
Such a scheme, thanks to good surging characteristics, is more flexible, reliable and cost-effective in terms of variable operating mode and can be equally well applied for driving propeller, for ground transportation, for blast furnace production etc. When operating on the gas pipeline such a gas turbine unit can provide any mode of operation of the gas pipeline without throttling at
the suction and without pressure lowering of the blower.
For operation modeling of the compressor and turbine, while calculating on the various modes the universal characteristics were used. Moreover, the characteristic of the compressor was built according to the manufacturer’s data but turbines characteristics were obtained using specialized CAD system.
Fields on the characteristics of high and low pressure turbines covering ranges of operating modes of FP, obtained by calculating the GТ-750-6M unit thermal scheme for one calendar year of real modes of operation.
Calculations have showed that area of the work of the HPT FP is close to the on-design regime, but LPT works in more wide range of operating modes.
The problem of flow path geometrical parameter multi-mode optimization with consideration of the thermal scheme of the unit is difficult and extremely labor-intensive. At present, in the available literature, recommendations and examples of the solution of optimization problems in similar papers are practically not existent. Considering the above, for the purpose of the
development of approaches to finding solutions to specified problems, preliminary research directed at the consideration of the influence of the efficiency of high and low pressure flow paths of GT-750-6M on its integral characteristics (fuel consumption, GTU efficiency, cycle initial parameters, etc.) have been carried out.
The increase of the efficiency of gas turbines flow paths is one of the preferable methods of increasing GTU efficiency and useful power. However, as studies have shown, in some cases the increase of the efficiency of gas turbine separately used in the thermal scheme within modernization does not produce the expected effect. It is connected with features of the configuration of turbines within GTU, and also with the interaction of turbines with other elements of the thermal scheme. The influence of gas turbines flow paths efficiency on GTU performance parameters using a GT-750-6M unit (Fig. 7.8) is considered as an example.
Increasing the efficiency of HPT
As can be seen from Fig. 7.8, HPT is located on the same shaft as the axial compressor and provides its work. The mass flow rate, temperature and pressure of combustion products behind HPT must be in strict conformity with the values necessary for generation by LPT power, set by the external consumer (the natural gas blower) in the current operation mode. An increase of HPT
efficiency in the specified operating conditions of the turbine does not lead to the predicted improvement of the performance parameters of the turbine unit. For example, when saving the unit operation mode (useful power, the power turbine rotor speed and the air parameters), the increase of HPT efficiency leads to an increase of its power. The additional power of HPT is transmitted through the shaft to the axial compressor, which leads to the redistribution of the main parameters of the gas-turbine cycle, namely:
- – the increase of power for compressor drive causes an increase in compressor rotor speed, which causes an increase of the air flow rate and a slight increase of the compression ratio (compressor efficiency decreases because of the displacement of the compressor and HPT joint operation line takes place);
- – the new air flow rate and pressure at the compressor outlet are superfluous for this thermal cycle and cause a fall in combustion products at the combustion chamber outlet, which inevitably leads to a decrease in cycle thermodynamic efficiency.
The specified changes in the unit’s thermal scheme nullify the effect expected from HPT flow path optimization.
Increasing the efficiency of LPT
The calculations show that the increase of LPT efficiency has a favorable effect on the performance parameters of the GT-750-6M and allows getting increase the net power while maintaining fuel consumption or fuel economy while maintaining power, given to the external consumer. Considerable deviations of the gas-turbine cycle parameters from design are not observed in this case.
Thus, an increase in the efficiency of LPT flow path is the most rational variant of the GT-750-6M unit modernization. The specified modernization does not lead to an essential redistribution of the parameters of the gas-turbine cycle and therefore does not touch the expensive elements of the unit such as the compressor, combustor, regenerator and supercharger.
It is worth to note that these studies were carried out for the GT-750-6M unit but research results and conclusions are valid for all GTUs with a similar thermal scheme.
For the optimization of geometrical parameters of GT-750-6M LPT flow path, taking into account the actual modes of operation, three upper levels of developed recursive algorithm optimization, described in Chapter 1, were involved. The distribution of the tasks and interaction between the local design levels are depicted in Fig. 7.9.
The highest level in the hierarchy of the design process “Scheme” is intended to calculate the distributions of parameters of GTU cycle (pressure, temperature, capacity, and cost) between elements in the scheme, as well as to determine the integral indicators of the unit at the off-design operation modes. As can be seen from Fig. 7.9, from the level “Scheme” to the level “Cylinder” the sets of mode parameters come that uniquely identify modes of the FP operation (consumption of combustion products at the entrance to the FP – G0, full gas
pressure at the inlet of FP – P*0, full gas temperature at the inlet to FP – T*0, full gas pressure at the outlet of the FP – P*0, turbine shaft speed – n).
the “Cylinder” level optimal values of basic geometrical parameters such as mean diameters of the nozzle and blade wheel cascades (D1, D2), the heights of the nozzles and the blades (l1, l2), inlet/outlet flow angles in both absolute and relative motions for nozzle and blades wheel cascades (α1, α0g, β2, β1g) were defined.
As a functional limitation at the level of “Cylinder” the flow rate of combustion products at the entrance to the LPT was chosen, that should match to the flow rate through the initial FP of the unit. For assessing the quality criterion in the process of optimization the value equal to the total work of the gas turbine (GT) for one year of operation was used.
At the next level “Stage” the optimal values of the numbers of the nozzle and rotor blades ( 1 2 z , z ) for their cascades were found, and optimized parameters on the “Cylinder” level were used as parametric constraints. Quality criterion is the internal efficiency of the stage.
A thermodynamic calculation of the GTU schemes procedure (section 2.5) is used as the mathematical model at the “Scheme” level. At the “Cylinder” and “Stage” levels a procedure for direct one-dimensional calculation of the axial turbines FP (section 2.2.3) is applied. When the optimal solution at the level of “Cylinder” was found, using direct one-dimensional model of FP, the universal characteristics of well-designed LPT are build. These characteristics are returning to the “Scheme” level for calculation of integral characteristics of the GTU.
Three iterations for refining the optimal solution were conducted during computation. The optimization task was solved taking into account 177 real operation modes of the GTU. Each mode corresponds to unit operation for 24 hours. Unit loading for the considered period varied in a range from 52 to 73% of the on-design mode, equal to 6 MW.
The calculations has shown that in the on-design operation mode of the GTU the gain of LPT useful capacity, without mass flow rate increase, was 1.5% (93.1 kW). Efficiency increase after optimization is caused by a decrease in the losses in nozzle and rotor cascades, exit energy losses, and a reduction of leakages in radial clearance. Therefore, in the on-design mode the velocity coefficient for nozzle and rotor cascades of an optimal flow path increased by 0.4 and 0.6% respectively, the absolute velocity downstream rotor (c2) decreased by 22%, and the leakage in radial clearance decreased by 2.7%. There was an increase of heat drop for nozzle cascades and a decrease of heat drop for rotor cascades (reaction decreased from 0.478 to 0.368). When the optimal design of the turbine works within the thermal scheme of the studied unit, the reduced value of velocity c2 leads to a corresponding decrease of total pressure losses in the exhaust diffuser.
The optimum values of variable parameters, obtained through the optimization, are shown in the Table 7.6.
As the result of the optimization the efficiency increment depending on the operation mode of GTU is from 0.09 to 0.27%. The fuel economy (of natural gas) for GTU with optimal LPT flow path depending on operation modes is given in Fig. 7.10. The total fuel economy for the considered period of 177 days amounted to 50831 kg.
Before performing the work of such complexity, as the above examples of optimal design of multi-stage cylinders, the authors made a huge amount of the work related to the verification of the developed and implemented mathematical models as well as proposed methods of optimization.
It should be emphasized that the criteria of the calculation results is an experiment. Full-scale experimental investigation of powerful turbines is very expensive. However, at one of the thermal power plants the test of turbine 200 MW capacity was conducted in a wide range of operational modes.
Comparison of results of the calculation research of the HPC FP turbines with experimental data obtained as a result of field tests of the same turbine in a wide range of operating modes, have strongly affirmed that used in optimization designed and implemented mathematical models have high accuracy and adequately simulate physical processes of flow of the working fluid in axial
turbine flow path.
According to the results of the conducted studies one important conclusion can be formulated.
The further improvement of the indicators level of the quality of existing and newly designed advanced multi-stage axial turbine installations is possible only using the most modern methods and software systems, capable of solving tasks of a multilevel object-oriented multi-criterion and multi-parameter optimization of the flow paths of axial turbines, taking into account their operational mode.
"*" indicates required fields










![Fig. 2. External appearance of the turbopump unit (TPU) of a RD0120 engine [3]](https://www.www-softinway-com-dead8c31.faststaging.dev/wp-content/uploads/2025/04/TPFig2.jpg)
![Figure 3: Direct-to-Chip Liquid Cooling Configuration [3]](https://www.www-softinway-com-dead8c31.faststaging.dev/wp-content/uploads/2025/04/DC-Fig-3.png)
