Mar 14, 2019
5.4 Minimum Profile Loss Optimization

Key Symbols
Indexes and Other Signs
Abbreviations
A more rigorous formulation of creating an optimal cascade profile problem that provides design parameters of the flow at the exit and meet the requirements of strength and workability, is the problem of profiling, which objective function is the profile (or even better – integral) losses.
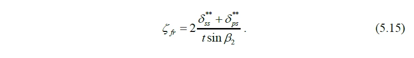
As mentioned above, the profile loss ratio can be presented as the sum of the friction loss coefficients of the profile ζfr and edge loss coefficient ζe.
Given that the ratio of the edge losses associated with the finite thickness of trailing edges, the value of which is predetermined and is practically independent of the profile configuration, the objective function can be assumed as [8].
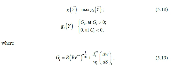
In terms of flow profile, you must set a limit, excluding the boundary layer separation. Unseparated flow conditions according to Buri criterion can be written as [22]:
The constants B and m can be taken equal to: B = 0.013…0.020, m = 6.
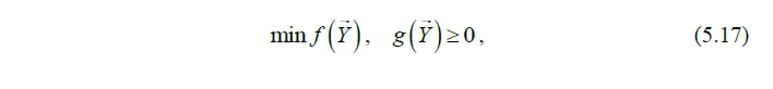
The task is set of determining the coefficients of the polynomials (5.7) for a description of the convex and concave profile with given geometric, strength and processability parameters so as to reach the minimum of the functional (5.15) and satisfy the constraints (5.16).
Formulated the optimal profiling problem is essentially non-linear with inequality constraints and mathematically formulated as follows:
where
vector of varied parameters objective function, whose role in the problem plays an equation for the coefficient of friction (5.12); g(Y→) – constraint, which on the basis of Buri separation criterion (5.14), is defined as follows:
i = 0, 1, …, 2n (2n – the number of points on the profile contour).
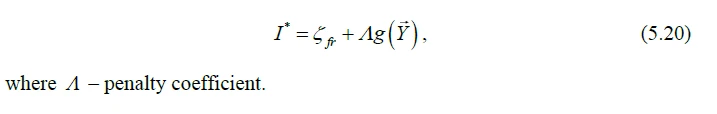
Applying to the problem solution method the penalty functions method [3], we reduce the problem of finding the extremum in the presence of constraints to the problem without restriction. Form the generalized functional I*
For the unconstrained minimization of the functional (5.20) Nelder and Mead algorithm was used [3].
An algorithm for constructing an optimal profile of the minimum profile loss is as follows:
1. As the initial data for profiling on the basis of thermal calculation and the conditions of durability and adaptability the quantities are introduced:
a – throat inter-blade channel; b – chord; t – cascade step; f – profile square; r1 and r2 input and output edges radii; ω2 – trailing edge wedge angle.
2. An initial approximation for the leading edge wedge angle ω1, the stagger angle of the profile βs, geometric (constructive) entry β1g and exit β2g angles, unguided turning angle δ, derivatives of higher orders
3. Determines the coordinates of the points C1, C2, D, K1, K2, and their first derivatives.
4. Sought the coefficients of polynomials describing the concave and convex portion of the profile according to the procedure set out in section 5.1.
5. The profile area determined and, using one of the one-dimensional search methods, varying angle ω2, a minimum of residual F=|f(ω2)- f| is found.The process of profiling is carried out from step 2.
6. Calculate the profile velocity distribution, as well as the coefficient of friction ζfr by (5.15) and the Gi value by (5.19).
7. We call the routine of optimization for finding the minimum of the functional (5.20), each time making the profile area fit before the calculation of the objective function. A minimum of the functional (5.20) corresponds to the optimum value of the vector of variable parameters
8. The optimal profile construction is made, satisfying the strength, geometrical and technological constraints, and provides a minimum profile loss while maintaining the unseparated flow. By the designer’s wish optimization may also be performed using the parameter t/b,and the trailing edge wedge angle ω2.
"*" indicates required fields







![Fig. 2. External appearance of the turbopump unit (TPU) of a RD0120 engine [3]](https://www.www-softinway-com-dead8c31.faststaging.dev/wp-content/uploads/2025/04/TPFig2.jpg)
![Figure 3: Direct-to-Chip Liquid Cooling Configuration [3]](https://www.www-softinway-com-dead8c31.faststaging.dev/wp-content/uploads/2025/04/DC-Fig-3.png)
