May 3, 2019
5.3 Optimization of Geometric Quality Criteria

Key Symbols
Indexes and Other Signs
Abbreviations
When used for the formation of the profile contour of polynomials of degree n (n > 5 for the convex part of the profile, and n > 3 for the concave part) the question arises about the correct choice of the missing n–5 (or n–3) boundary conditions which must be selected on the basis of the requirements of aerodynamic profile perfection.
One of the requirements of building the turbine profiles with good aerodynamic qualities is a gradually changing curvature along the outline of the profile [25]. Unfortunately, the question concerning the nature of the change of curvature along the profile’s surface, is currently not fully understood. Curvature along the profile’s surface, is currently not fully understood.
As a geometric criterion for smooth change of curvature in the lowest range of change in the absence of kinks on the profile, you can take the value of the maximum curvature on the profile contour in the range [xc2,xc1] for the convex and for [xk2,xk1] the concave parts, by selecting the minimum of all possible values at the profile designs with the accepted parameters and restrictions. The requirement for the absence of curvature jumps in the description of the profile contour by power polynomials automatically fulfilled as all the derivatives of the polynomial are continuous functions. Agree to consider determined based on the geometric quality criterion, the missing boundary conditions in the form of derivatives of high orders in points C2, and K2 components of a vector Y ⃗ . For the concave part of the profile vector of
varied parameters Y ⃗ is as follows:
wherein k – the curvature of the profile, and the maximum is searched for in the range [xc2,xc1] on the convex portion of the profile and [xk2,xk1] – on the concave part of the profile using one of the one-dimensional search methods.
Formulated the problem of minimizing the functional (5.12) can be solved by the methods of nonlinear programming. In this case, a very successful was a flexible polyhedron climbing algorithm.
An algorithm for an optimal profile constructing using the geometric quality criterion is as follows:
It was also developed somewhat different algorithm for constructing an optimal profile of the geometric quality criteria. The main stages of the algorithm are as follows:
The process of the profile convex portion constructing continue from step 1 until the throat is not held with the desired accuracy.
The calculation of the velocity distribution around a plane cascade profile and loss coefficients made by sequentially the following tasks: calculation of potential ideal incompressible fluid flow around a flat cascade; approximate calculation of the compressibility of the working fluid; the boundary layer calculation and loss factor determination.
Methods for potential flow of an incompressible ideal fluid calculation in the plane cascade can be divided into methods based on conformal mapping of the flow domain and methods of solving tasks given to integral equations [8, 22].
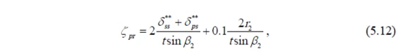
Considering the profile loss ratio ζpr as the sum of the friction ζfr and edge losses ζe coefficients using proposed in [8] approximate formula for
determining the value of the expression ζpr can be written as:
wherein δ**ss, δ**ps – the momentum thickness on the convex (suction side) and the concave (pressure side) portions of profile.
The calculation of the boundary layer can be produced by known methods of boundary layer theory [22]. There is reason to believe the boundary layer in real turbomachinery cascades fully turbulent. At least the treatment the boundary layer as turbulence do not gives low loss coefficient values in the cascades. Before values of Mach numbers M < 0.5, calculation of the boundary layer on a single cascade profile can produce satisfactory accuracy as an incompressible fluid [22]. As a possible formulas for the momentum thickness calculation can take the expression obtained in the solution of the turbulent boundary layer by L.G. Loytsyanskiy method
where Re – Reynolds number; w2 – – cascade output velocity; w(S) – the profile contour velocity distribution function.
The integral in (5.14) is determined by a numerical method. Determined with the help of (5.14) the δ**ss, δ**ps values, and substituting them into (5.12), we will
find the profile loss ratio.
"*" indicates required fields





![Fig. 2. External appearance of the turbopump unit (TPU) of a RD0120 engine [3]](https://www.www-softinway-com-dead8c31.faststaging.dev/wp-content/uploads/2025/04/TPFig2.jpg)
![Figure 3: Direct-to-Chip Liquid Cooling Configuration [3]](https://www.www-softinway-com-dead8c31.faststaging.dev/wp-content/uploads/2025/04/DC-Fig-3.png)
