Apr 30, 2019
5.2 Profiles Cascades Shaping Methods

Key Symbols
Indexes and Other Signs
Abbreviations
The resulting thermal calculations of optimal geometry and gas-dynamic parameters of the working fluid at the inlet and outlet of the blade row let you go to the next stage of optimization of the turbine flow path – the blade design. The solution of the latter problem, in turn, can be divided into two stages: the creation of planar profiles cascades and their reciprocal linkage also known as
stacking [25].
The optimal profiling problem formulated as follows: to design optimal from the standpoint of minimum aerodynamic losses profiles cascade with desired geometrical characteristics, provides necessary outlet flow parameters and satisfying the requirements of strength and processability.
To optimize the cascade’s profile shape profiling algorithm is needed, satisfying contradictory requirements of performance, reliability, clarity and high profiles quality.
Earlier, considerable effort has been expended to develop such algorithms [25]. Analyzing the results of these studies, the following conclusions may be done. First, great importance is the right choice of a class of basic curves, of which profiles build (which may be straight line segments and arcs, lemniscate, power polynomial, Bezier curves, etc.), which primarily determines the reliability and visibility of solutions. The quality of the obtained profiles associated with the favorable course of the curvature along the contours, the choice of which is carried out using the criteria of “dominant curvature”, minimum of maximum curvature, and other techniques.
First, consider the method of profiles constructing with power polynomials [15, 34]. The presentation will be carried out in relation to the rotor blade.
5.2.1 Turbine Profiles Building Using Power Polynomials
Initial data for the profile construction. Analysis of the thermal calculation results (entry β1 and exit β1 angles, values of flow velocities W1 and W2) and the requirements of durability and processability lead to the following initial profiling data (Fig. 5.1): β1g constructive entry angle; f – cross-sectional area; b – chord; t – cascade pitch. Optimal relative pitch of the cascade can be determined beforehand on the recommendations discussed in [25]; a – inter-blade chanel throat; ω1 – entry wedge angle; r1 – the radius of the leading edge rounding; r2 – the radius of the trailing edge rounding; ω2 – exit wedge angle; βs – profile stagger angle; β2g – constructive exit angle; δ – unguided turning angle.
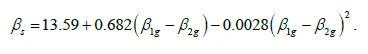
Of the last six parameters three (r1, r2, ω1) are determined by calculation, the remaining three (βs, β2g, δ) can also be determined in the first approximation by the empirical formula [25]. In further at constructor’s option last three parameters or part of them, may be maintained constant during the profiling, or changed, as variable parameters. As a first approximation for the profile stagger angle βs the next relationship can be recommended:
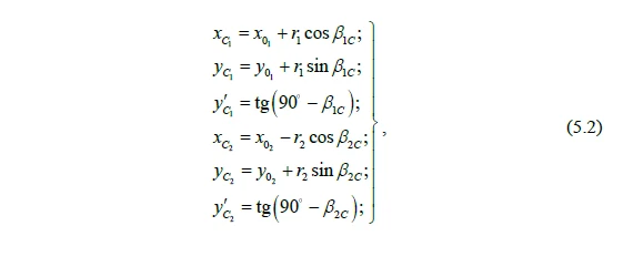
Profile is built in a Cartesian coordinate system. Coordinates of the circle center of input and output edges, as is easily seen, is given by (Fig. 5.1):
The coupling coordinates of the edges circles with convex and concave sides of the profile C1, C2, K1, K2 and their derivatives at these points are defined as follows:
In the formulas (5.4), (5.5) the angles are in radians. The Kω value is often taken as equal to 1. It can influence the position of the center of gravity of the profile. In the process of profile building angle ω1 specified from the conservation of a given area.
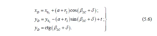
Preserving the value of the throat a, for point D we have:
In the construction of the profile convex and concave parts must first achieve coupling of describing their curves with circumferential edges, while the profile’s convex part with the circumference of the throat at the point D. This means that these curves must satisfy the boundary conditions which are defined by formulas (5.2), (5.6) to the convex and (5.3) for the concave portions of the profile.
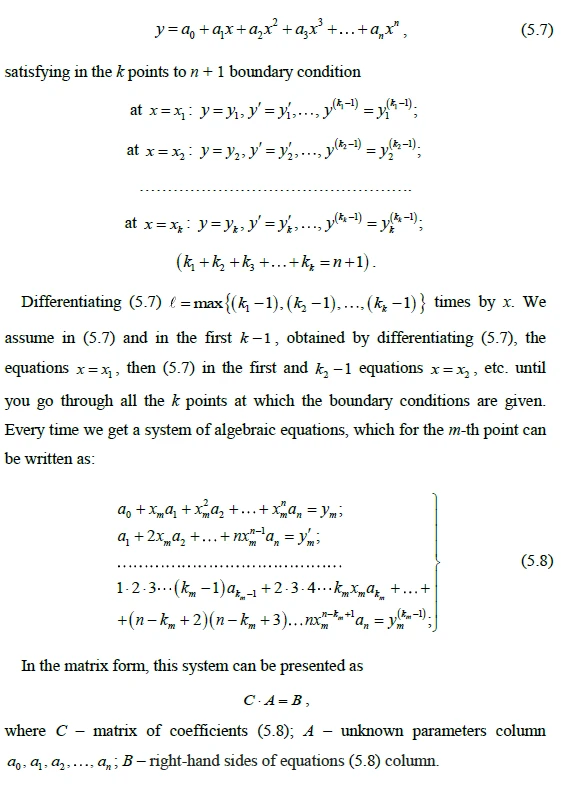
As for the convex part the number of these conditions is six, and for the concave – four, in order to have an opportunity to widely vary the outline profile to produce a minimum loss, the convex portion of the profile should be described by a polynomial of higher than 5-th, and the concave portion – than 3-d degree.
Let the order of the polynomial is n. In this case, the question of choosing the correct n-5 boundary conditions for the convex portion of the profile and n-3 boundary conditions for the concave part. As such one can take, for example, the high-order derivatives (second and higher) in the points C2 and K2. Not stopping until the solution of this problem, assume that the boundary conditions are somehow chosen.
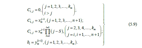
Due to the fact that the number of points at which the boundary conditions are given, may be different for the convex portion and the concave profile (as mentioned above), for generality, we consider the task of determining the coefficients of the polynomial in the case of setting the boundary conditions in any number of points.
This problem is formulated as follows:
It is easy to see the elements of the matrix C, and the right-hand part column B may be determined by the following formulas:
Now, if the index m in (5.8) will run from 1 to k, we arrive at a system of linear algebraic equations of order n + 1 relatively of unknowns a0, a1, a2…,an, the elements of the coefficient matrix and the right sides of the column which are determined by formulas (5.9). Solving this system of linear equations, we will determine the coefficients of the polynomial (5.7) separately for convex and concave profile parts.
The area is calculated using the difference between the integrals of the curves describing the convex and concave portion of the profile. Be aligned with a given area can be varying wedge angle of the leading edge ω1, repeating at the same time building a profile with the formulas (5.2), (5.3).
The developed method of turbine profiles design allows the construction of an oblique cut with straight section. Such profiles can be used for supersonic expiration and work well in conditions other than nominal.
5.2.2 Profiles Building Using Bezier Curves
A more simple and clear way to build the base curve is a Bezier curve (which is especially convenient for interactive construction of complex curves), but to automate profiling with its help some special measures should be taken. There no doubt also the fact that that the minimum of maximum curvature is a prerequisite for high aerodynamic qualities of turbine profiles cascades. In many cases, probably this criterion prevails over the condition of the absence of curvature jumps, as evidenced by still competitive CKTI profiles [33], designed from arcs and line segments.
Based on these considerations, we will build a profile consisting of two circles describing the input and output edges and three Bezier curves, one of which forms the pressure side, and the other two – convex part, respectively, from the trailing edge to the throat and from the throat to the leading edge.
Bezier curve that passes through two given end points and having at these points specified derivatives, will be called the base curve (BC).
The simplest base curve satisfying the above requirements, a Bezier curve, based on the polygon consisting of two segments passing through the given points with a given slope (Fig. 5.2). It is not difficult to assume that the use of the support polygon of the two segments gives BC, having a very large maximum curvature. In addition, when the angle between segments tends to be zero, the maximum curvature increases indefinitely.

Figure 5.2 (left) Construction of Bezier curve by 2 points and Figure 5.3 (right) Construction of Bezier curve in three basic segments.
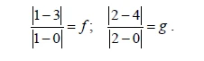
The next (and decisive) step to improving the base curve is the addition of one more segment, intersecting the first two (Fig. 5.3).
We introduce relationship
The course of the base curve generated by polygon 1-3-4-2 much smoother. Furthermore, it is obvious that there must be optimum values of the parameters f and g. Indeed, at f and g, aspiring to unity, we have the case of two basic segments and a very large curvature in the central part of the curve, while f, and g, tending to zero, greatly increasing curvature at points 1 and 2.
A disadvantage of the third order base curve construction is the need to determine the optimal combination of parameters f, g, which greatly slowed the process of the profile design. Fortunately, the coefficients can be calculated only once and tabulated for different combinations of angles (Table 5.1). Since the optimum base curves do not depend on the polygon orientation or the size,
the calculations can be made for the polygon, whose base is the unit interval, which lies on the Ox axis. In addition, due to the obvious condition
it is enough to store the data for only one optimal ratio. If you have a table of dependencies, the basic curves of sufficient quality are built almost instantly.
Profile is constructed from two circles that form the input and output edges, one of BC, which describes the pressure side, and the two BCs, describing the suction side. In this way, initial profiling parameters are listed in Section 5.2.1 (Fig. 5.1).
This information is sufficient to build the support polygons of the profile sections. Formulas for determining the coordinates of the corresponding points and angles do not differ from those given in the previous section. An algorithm for constructing the profile is very simple, but it has a major disadvantage: in the point of the throat, where two base curves are joined, it is possible
discontinuity of curvature, which may lead to local deformation of profile velocity, and a sharp increase in the friction loss. There is a simple way to smooth BC docking at the throat. It lies in the selection of the unguided turning angle to match the curvature of parts at the throat point. Because of the high curvature sensitivity of the unguided turning angle, the variation turns minor.
Determination of δopt is carried out by solving the equation
by secant method.
Elimination of the curvature jump in the throat requires only a few profile evolutions and a decision is reached very quickly. Built in such a way will be called the basic profile (BP). After a slight modification the algorithm also allows to construct suitable profiles with elongated front part.
It should be borne in mind that the BP is not yet the final product, it is only a semi finished product intended for optimization of all the others, except for the initial, data. This optimization can be performed according to different criteria.
In the process of BP constructing assumed the specified parameters with the exception of the unguided turning angle, which was chosen in such a way as to eliminate the curvature jump at the throat. The remaining ten parameters can be varied to optimize a chosen cascade optimality criterion.
In general, the problem of optimal design of a flat cascade can be written as:
Vector of variable parameters X should in some way describe the shape of the profile. Criterion F(X) is a functional on X. Restrictions on the range of admissible values of the vector X associated with strength and technological requirements cascade imposed on, which are, in particular, the shape and thickness of the input and output edges. Because of the sufficient simplicity of accepted method for calculating the tensile and bending stress in the blade section, they can be defined directly in the process of the profile shape optimization. However, we will stick to a different approach, considering approximately known basic cascade dimensions (chord, relative pitch, etc.) on the basis of the calculation described in section 5.1.
Specifically, a vector of variable parameters includes the following characteristics which influence the configuration of the profile that is based on the procedure described in the previous section:
- – profile stagger angle;
- – relative pitch;
- – geometrical exit angle;
- – the radius of the leading edge;
- – wedge angle of the leading edge;
- – wedge angle of the trailing edge.
Restrictions on the range of the parameter is written in the simplest form:
The most important point in the cascade optimization is the correct criterion of quality selection, which generally represents the minimum total loss of kinetic energy in the cascade taking into account the relative time of its operation at different flow regimes in a given stage of the turbine. In connection with this problem distinguish multi-mode and single-mode optimization solution requires the calculation of cascade flow and constituting losses therein, respectively, at set of modes or in one of them.
As shown by previous studies, in some cases, an alternative criterion of aerodynamic quality can be geometric criterion of the profile smoothness. One could even argue that this observation even more relevant to a multi-mode optimization, than single-mode. The original method was developed in relation to the profiles submitted by power polynomials.
"*" indicates required fields











![Fig. 2. External appearance of the turbopump unit (TPU) of a RD0120 engine [3]](https://www.www-softinway-com-dead8c31.faststaging.dev/wp-content/uploads/2025/04/TPFig2.jpg)
![Figure 3: Direct-to-Chip Liquid Cooling Configuration [3]](https://www.www-softinway-com-dead8c31.faststaging.dev/wp-content/uploads/2025/04/DC-Fig-3.png)
