Apr 16, 2019
4.4 The Effect of Tangential Lean on the Characteristics of Axial Turbine Stage

Key Symbols
Indexes and Other Signs
Abbreviations
One means of the flow control in the axial turbine stage is the use of blades with non-radial setting. In this case, there is a non-zero the blade surface lean angle.
Vortex equation for the case of flow in a rotating crown can be written as:
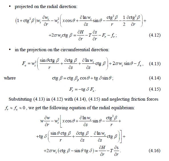
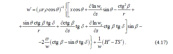
Turning to the new independent variable ψ – the stream function, we write (4.16) in final form:
Equation (4.17) for given geometrical parameters of the surface S’2 forms a closed system of ordinary differential equations in cross-section z = const together with the continuity equation:
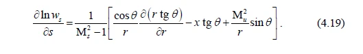
Consider a three sections stage calculation which located on the entrance and exit edges of the guide vane and on the trailing edge of the impeller. Derivative:
is defined in terms of the flow of the working fluid in the free space (right side of the design section):
In the absence of lean (tgδ = 0 ) the equation (4.17) coincides with the previously obtained. Upheld algorithm for the stage calculation by sections and supplements it by specifying the lean angles of the guide and rotor blades output edges. Agreed δ(r) = const.
Of particular interest is the study of the guide vane lean in order to assess its effect on the degree of reaction gradient and as a consequence, the amount of leakage in the radial space over rotor blades for different types of guide vane twists Of particular interest is the study of the guide vane lean in order to assess its effect on the degree of reaction gradient and as a consequence, the amount of leakage in the radial space over rotor blades for different types of guide vane twists β(r).
If there δ is positive, an alignment of reaction gradient happens, and, as can be seen from (4.20), the stronger, the smaller the α1 angle and narrower the blade. Analysis (4.17)
shows that the pressure compensation in the gap due to nozzle reverse twist occurs because of the appearance of the curvature of the stream lines in the gap, i.e. this influence is indirect and requires specification of the form of the stream lines in the stage calculation.
On the contrary, the effect of the lean angle on the degree of reaction gradient in the equation (4.17) manifests itself through the curvature of the surface in the oblique cut area, which allows the stage calculation even within a cylindrical theory.
Calculations were performed to determine the effect of the nozzle tangential lean on the characteristics of the experimental air turbine stage with high load Dm/ι=14, with the value of the radial gap δr = 1.5 mm.

Figure 4.5 Dependence of the radial clearance relative mass flow and stage internal
efficiency on the lean angle for m = 1.
Vane twist law was set in the form (4.4) and the lean angle ranged –10°…+20°. The results of calculations for m = 1 (the constant circulation law), and m = -8 (reverse twist, optimal when this value of radial clearance in the absence of the lean) are shown in Fig. 4.4, 4.5 and Fig. 4.6, 4.7. The figures show that the lean is a powerful tool in controlling the stage flow, in some cases giving an opportunity to significantly increase its efficiency.
"*" indicates required fields







![Fig. 2. External appearance of the turbopump unit (TPU) of a RD0120 engine [3]](https://www.www-softinway-com-dead8c31.faststaging.dev/wp-content/uploads/2025/04/TPFig2.jpg)
![Figure 3: Direct-to-Chip Liquid Cooling Configuration [3]](https://www.www-softinway-com-dead8c31.faststaging.dev/wp-content/uploads/2025/04/DC-Fig-3.png)
