Apr 9, 2019
4.3 The Axial Turbine Stage Optimization Along the Radius in View of Leakages

Key Symbols
Indexes and Other Signs
Abbreviations
The above numerical study results, confirmed experimentally, show, that leakages significantly affect the axial turbine stage crowns optimal twist laws. With a decrease in the length of the rotor blade (increase of Dm/ι ratio) this effect is amplified.
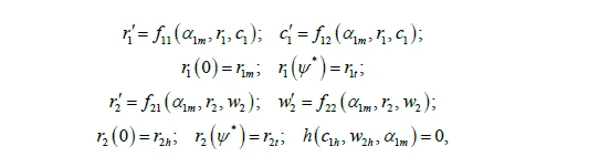
In this regard, the problem arises of determining the guide vanes and rotor optimal twist laws for a given stage geometry, inlet parameters, the rotor angular velocity, flow rate and heat drop. We restrict ourselves to the task of practically important case of the blades angles specification in the form (4.4). At the same time, while setting the flow and heat drop together, thermal calculation is performed by adjusting one of the angles α1m or β2m Described below optimization technique based on repeated conduct this kind of thermal calculations for the purpose of calculating the internal stage efficiency depending on one of α1m, β2m angles, and the exponents m1, m2 in the
expression (4.4).
Assume that the control variables are β2m, m1 and m2, whereby the back pressure at a predetermined flow rate must be specified by changing the angle α1 at the mean radius. The problem of the thermal stage calculation is written as
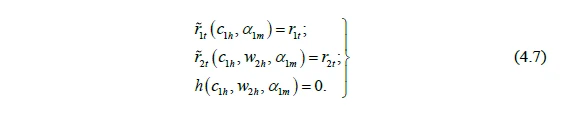
and its numerical solution is based on finding the roots of transcendental equations
After the solution of (4.7), which is conducted with the specification form of the stream lines, leakage values, velocity and flow rate coefficients, internal stage efficiency calculated as a function of three variables β2m, m1 and m2.
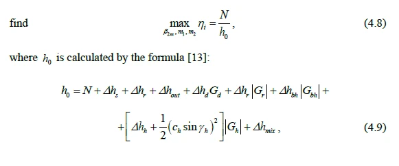
Thus, the stage optimal design problem with a maximum internal efficiency reduced to a nonlinear programming problem:
Unconditional maximization (4.8) does not meet the fundamental difficulties. Physically seems justifiable division of the optimization problem (4.8) on two related subtasks:
- – determination of optimal angles at the mean radius under the certain blades twist laws;
- – selection of optimal parameters m1 and m2 at specified angles
Thus, the general problem (4.8) can be solved iteratively by alternately solving subtasks:
This approach is analogous to the component-wise optimization, which is a special case of the known method of the coordinate descent (Gauss-Seidel). The first of the sub-tasks (4.10) is solved by searching the extremes of functions of one variable. The second sub-task (4.11) can be solved by direct search of two variables function extremum. The combination of a one-dimensional search of the best angles at the mean radius and a direct search of optimum parameters m1, m2 was the most reliable way of the problem (4.8) numerical solution,
providing the finding of the global maximum of the objective function even in the presence of local extrema in the topogram plane.
As a practical application of the developed technique of the turbine stage spatial optimization in view of leaks were upgraded cylinders of high and intermediate pressure of the steam turbine with 200 MW capacity. Relation Dm/ι varies from 25 (II stage of HPC) to 4.8 (VII last stage of IPC) (control stage was not considered), the number of stages in the HPC and IPC was 6 and 7, respectively. As initial were taken the stages with the manufacturer’s blade angles at the mean radius. If Dm/ι>10, rotor blades assumed cylindrical, and if Dm/ι<10 – twisted by constant circulation law. Modernization was carried out at regular radial gaps (δr=0.001Dt).
The data allowed to build dependence of the parameters m1 and m2, characterizing crowns twist laws on the ratio Dm/ι (Fig. 4.3).
Comparison of the effectiveness of IPC sections, consisting of original and optimized stages showed that efficiency of the last 0.65% above baseline. With increased radial clearances the gain increases.
The possibilities of this optimization method can also be illustrated by modern powerful (500 MW) steam turbine IPC upgrading example. 500 MW turbine intermediate pressure cylinder consists of 11 stages in the range Dm/ι = 10.8…3.6.
Optimization calculations have shown the expediency of the crowns twist with m1 and m2, the values and the magnitude of which change depending on Dm/ι are denoted with triangles in Fig. 4.3. Reducing exponents m1 for stages with the same Dm/ι values from the turbine 500 MW compared to 200 MW turbine can be explained narrower guide vanes (lower Βt/ι values) in the IPC of the first turbine. Carried out optimization calculations have shown 0.45% improved cylinder efficiency.
"*" indicates required fields




![Fig. 2. External appearance of the turbopump unit (TPU) of a RD0120 engine [3]](https://www.www-softinway-com-dead8c31.faststaging.dev/wp-content/uploads/2025/04/TPFig2.jpg)
![Figure 3: Direct-to-Chip Liquid Cooling Configuration [3]](https://www.www-softinway-com-dead8c31.faststaging.dev/wp-content/uploads/2025/04/DC-Fig-3.png)
