Mar 19, 2019
3.2 Preliminary Design of the Multistage Axial Flow Turbine Method Description

Key Symbols
Indexes and Other Signs
Abbreviations
In the early stages of the flow path (FP) design of the turbine, when determined the diameter, the blade heights, heat drops and other main characteristics of the stages, required to study alternatives with a view to the design solution, in the best sense of a quality criterion.
Most effectively, this problem is solved within the created turbine flow path CAD systems, because manage: to achieve a rational division of the designer, defining the strategy and computer, quickly and accurately perform complex calculations and presents the results in human readable numeric or graphical form; to take into account many different factors influencing the efficiency,
reliability, manufacturability, cost and other indicators of the quality of the design being created; organize dialogue or fully automatic determination of optimal parameters, etc [29].
Most methods of the multi-stage turbine parameters optimization is designed to select the number of gas-dynamic and geometric parameters on the basis of the known prototype, the characteristics of which are taken as the initial approximation.
When using complex mathematical models, a large number of variables and constraints, the solution of such problems requires considerable computer time and for the purposes of CAD that require quick response of the system is often unacceptable.
It is desirable to have a method of design that combines simplicity, reliability and speed of obtaining results with an accuracy of the mathematical model, a large number of factors taken into account and optimized, the depth of finding the optimal variant. This inevitably certain assumptions, the most important of which are: the synthesis parameters of “good”, competitive structure without attracting accurate calculation models; in-depth analysis and refinement of the parameters are not taken into account at the first stage; optimization of the basic parameters by repeatedly performing the steps of the synthesis and analysis.
Design of the FP in such a formulation will be called preliminary (PD). PD does not claim to such a detailed optimization of parameters, as in the above-mentioned methods of optimal design. Its goal – to offer a workable, effective enough design, the characteristics of which, if necessary, can be selected as the initial approximation for more accurate calculations.
Major challenges in creating a PD method are:
- – a rational approach to the problem of the preliminary design, the selection of the quality criteria and the constraints system;
- – development of a method for the multi-stage flow path basic parameters selection;
- – formation of requirements for a mathematical models complex describing different aspects of turbines and their efficient numerical implementation;
- – selection of the appropriate algorithm for finding the optimal solution;
- – a flexible software creation for a dialog based solution of the design problems in various statements and visual representation of the results.
It is assumed that FP PD will be conducted immediately after the calculation of the turbine thermal cycle under known for each of the cylinders steam parameters i♦0, P♦0, at the inlet, the back pressures for modules P2j, mass flows Gj (j = 1,…,nmod) and rotor frequency ω
The task is selecting the number of stages in the modules nj, root diameter Dhj and stages blades heights so as to achieve the maximum power of the cylinder, while ensuring reliability, manufacturability, or any other (material consumption, cost, size, etc.) pre-specified requirements.
The minimum acceptable reliability limits regulated (including safety factors) by static stresses in the blades and diaphragms, as well as detuning rotor blades of constant cross-section of the resonance. Technological constraints are reduced to a certain FP embodiment, task specific surface finish, as well as the use of standardized components – profiles, shanks, etc.
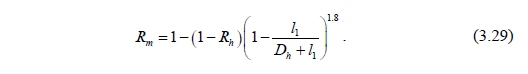
Common to powerful steam turbines HPC and IPC is the requirement of blading unification, when all stages are formed by trimming the top of the nozzle and rotor blades of the last stage of the module. At the same time it maintained a constant root diameter, angles α1h and β2h as well as the root degree of reaction Rh at the uniform heat drops distribution between the stages and the constant axial velocity component in sections.
Consider ways of forming the cylinder FP, consisting of sections, satisfying, in particular, the above requirements of the unification. The idea of the method repeatedly expressed earlier. We apply it to the computer-aided FP design and make some modifications and generalizations.
3.2.1 Methods of the FP Synthesis
Consider one of the formulations of the PD problems, which we call the task I, in relation to the module.
Suppose that the root diameter Dh, root degree of reaction Rh and angle α1h are known. The nozzle and rotor blades are considered to be twisted by law cur = const, which gives:
and to change the degree of reaction along the radius the relation is applicable
or the approximate formula [10]
First of all, the estimated process of steam expansion in the module is build. As we know neither the number nor the geometrical characteristics of the stages, it can be done only very approximately, evaluating the module efficiency ηim, such as by method [30]. This makes it possible to find the parameters of steam at the end of the actual process of expansion and, taking this process as linear, to evaluate the thermodynamic parameters at any pressure
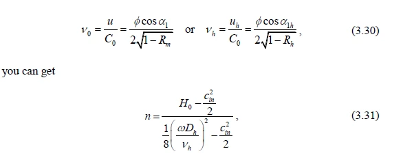
To select the number of stages in the module let allow approximately uniform breakdown of the heat drops by the stages.Then, by setting the velocity ratio u/C0 or evaluating its “optimal” (i.e. corresponding to the axial outlet flow from the stage – α2 = 90 ) value, for example, by the formula [10]
where H0 – module disposable heat drop; cin – velocity at the inlet of the module; n – stage number – rounded up to the nearest integer.
Velocity cin, which is equal to the axial component is determined by taking into account (3.30) according to the formula
Solving (3.36) as a quadratic equation, we find
The most advantageous number of stages in a module is determined by (3.31). Otherwise method II does not differ from the method I.
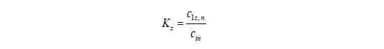
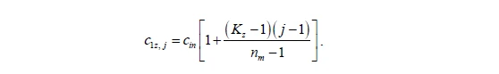
With the introduction of the coefficient
methods I and II can be generalized to the case where the axial velocity components linearly vary from stage to stage. For this purpose, in the equations (3.33), (3.36) and (3.37) c1z should be replaced by the value
It should be borne in mind that when Kz ≠ 1 the blade system unification condition (α1h = const, and β2h= const) is not satisfied. Thus, as a result of solving PD problems in the statement I (II) certain basic characteristics of the FP are defined: the number of stages n stages counter-pressures P2j, root – level reaction degrees Rh, root diameter Dh, height of nozzle vanes l1j, angles α1h (ratio (Dm/l of the 1-st stage).
3.2.2 Detailed Thermal Calculation
Next, to a more accurate assessment of the created design quality criteria and calculation of all required parameters is proposed to solve the inverse one dimensional problem of thermal calculation of the FP for each of the stages of the cylinder. Known at this point data is not enough for this calculation. Additionally, you need to specify the height of rotor blades, the geometric characteristics of the cascades, seals, etc.
Selection of missing values must be based on the design adopted, strength, technological and other requirements. For example, the height of the rotor blade can be obtained on the ground of information about the standard overlap or through the strict implementation of the conditions β2h = const in the group of stages. Using standard profiles data or generalized dependencies for the profile characteristics of arbitrary shape allows you to create a cascade, satisfying the requirements of efficiency, reliability and manufacturability. Selection of the
main cascade parameters (a chord, stagger angle, pitch, etc.) it is advisable to carry out during the refinement of the velocity coefficients of crowns in the one-dimensional inverse problem of the FP thermal calculation. It’s quite a complicated independent problem which deserves special consideration.
The results of this calculation are the kinematic parameters of the flow in the gaps, the effective angles, cascade’s components of the kinetic energy loss and
power parameters of stages. It also calculated the magnitude of stresses in the elements of design, weight, size and other characteristics. This information is sufficient to draw a conclusion about the quality of the built structure and the need to continue the design process.
A proximity in the selection of the basic FP parameters in the first PD stage compensated with the detailed account of the most factors affecting the quality parameters of the turbine in the model of thermal calculation. However, it should be borne in mind that during the synthesis of the FP should be set a number of parameters which are precisely determined only at the second calculation step. Therefore, there may be some differences in the parameters u/C0,α2, ηi, mod.
The most significant differences between the set and the refined α1h value, which can reach 0.5…1.0º or more because of the stages number rounding to the nearest integer in the formula (3.31) and, as a consequence, the deflection u/C0 in the formula (3.30) from the optimum. For this reason, and also because of methodologically inappropriate to set as the initial parameter, which subsequently must be determined (angle α1h), PD problem formulation II seems more rational.
3.2.3 Optimization
The desire to automate the PD process leads to the development of an algorithm for finding the optimal combination of the basic parameters of the flow path. With regard to the formulation II it is Dh, Rh, Vh, Dm/1 of the 1-st stage, and in case of failure of the unification – also Kz The total number of variables to variable cylinder consisting of nm modules thus does not exceed 5nmod.
To automatically design the FP, optimal in terms of the selected quality criteria, the designer must specify ranges of variable parameters and the required number of points in the search space defined by the conditions (3.42).
Sampling points generation is conducted using the LP sequences. Clarification of the optimal solution is achieved by reducing the ranges in the search. Typically, the amount of the search points ranges from a few dozen to several hundreds. Since the synthesis and thermal design of one point takes a few seconds, the maximum time to find the optimal variant is not more than a few minutes on a standard PC.
"*" indicates required fields










![Fig. 2. External appearance of the turbopump unit (TPU) of a RD0120 engine [3]](https://www.www-softinway-com-dead8c31.faststaging.dev/wp-content/uploads/2025/04/TPFig2.jpg)
![Figure 3: Direct-to-Chip Liquid Cooling Configuration [3]](https://www.www-softinway-com-dead8c31.faststaging.dev/wp-content/uploads/2025/04/DC-Fig-3.png)
