Mar 13, 2019
3.1 Analytical Solutions

Key Symbols
Indexes and Other Signs
Abbreviations
An important objective in the design of a multi-stage axial turbine is to determine the optimal number of stages in the module and the distribution of heat drop between stages.
Typically, a given quantity is the module’s heat drop, and should vary the number of stages and the rotational speed (diameter). It should be understood that the circumferential velocity reduction, and hence the diameters of the stages, reduces the disc friction losses, increase height of the blades (and therefore reduce the proportion of end losses), decrease the flow path leakage. At the
same time it leads to an increase in the optimal number of stages, which causes an increase in losses due to discs friction and an additional amount of the turbine rotor elongation. Immediately aggravated questions of reliability and durability (the critical number of revolutions), materials consumption, increase cost of turbine production and power plant construction.
A special place in the problem of the number of stages optimization is the correct assessment of the flow path shape influence, keeping its meridional disclosure in assessing losses in stages. As you know, the issue is most relevant for the powerful steam turbines LPC. It is therefore advisable for the problem of determining the optimal number of stages to be able to fix the form of the flow path for the LPC and at the same time to determine its optimal shape in the HPC and IPC.
It should also be noted that the choice of the degree of reaction at the stages mean radius (the amount of heat drop also associated with it) must be carried out with a view to ensuring a positive value thereof at the root. Formulated in this section methods and algorithms:
- – May serve as a basis for further improvement of the mathematical model and complexity of the problem with the accumulation of experience, methods and computer programs used in the algorithm to optimize the flow of the axial turbine;
- – Allow the analysis of the influence of various factors on the optimal characteristics of the module, which gives reason for their widespread use in teaching purposes, the calculations for the understanding of the processes taking place in stages, to evaluate the impact of the various losses components on a stage operation;
- – Allow to perform heat drop distribution between stages and to determine the optimal number of stages in a module within the modernization of the turbine, i.e. at fixed rotational speeds (diameters) and a given flow path shape or at the specified law or the axial velocity component change along the cylinder under consideration.
A possible variant of the form setting of n stages group of the flow path can be carried out by taking the known axial and circumferential velocity components in all cross-sections, which the numbering will be carried out as shown in Fig. 3.1.
The axial velocity components we refer to the axial velocity at the entrance to the stages group:
where kjz
The shape of the flow path center line determined by the introduction of coefficient
By satisfying the conditions (3.1), (3.2) after optimization using the continuity equation:
we can determine the shape of the flow path boundaries.
Assuming that we know the initial parameters of the working fluid at the turbine module inlet and the outlet pressure, i.e. theoretical heat drop in the group of n stags is known. Thermal process in the group of stages with the help of hs-diagram is shown in the Fig. 3.2.
Peripheral efficiency of the stages group determined by the formula
or taking into account (3.1) and (3.2) in a dimensionless form according to the expression
by introducing a factor by which the output loss is defined as
Dividing equation (3.5) by u02 taking into account (3.1), (3.2), as well as well-known kinematic correlations between velocity and flow angles after obvious transformations we obtain an expression for the limitation A3 in the dimensionless form:
where Λ – penalty coefficient.
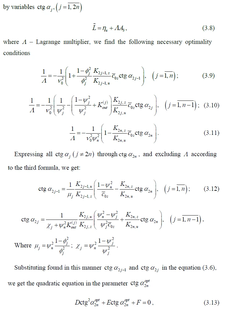
Given the values of the velocity coefficients φj, ψj along the module, solution of the problem is simplified due to the possibility of its decision by indefinite Lagrange multipliers method. Differentiating the Lagrange function by variables:
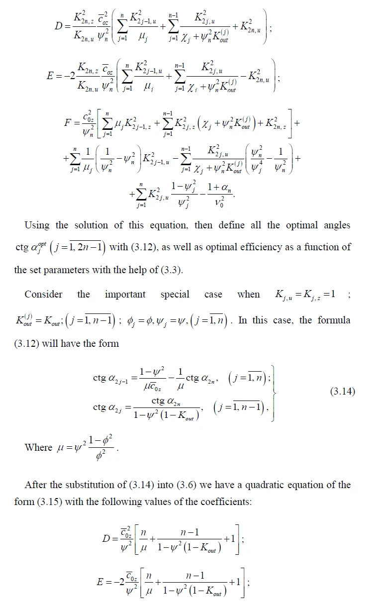
Calculations have shown that for each value v0 = u/C0,i.e. heat drop for a given amount H0 at a fixed circumferential speed u, an optimum number of stages exists at which the maximum efficiency of the module is reached.

Assuming full utilization of the output velocity of the intermediate stages (Kout = 0) the rotor exit angles of the intermediate stages α2j (j≠ n) can be very different from 90°.
The last stage flow exit angle α2n in accordance with the calculation results must be done close to 90°, which corresponds with a minimum loss of output velocity. Angles downstream of the guide vanes lie in the range 10…17°, the optimum value of the velocity ratio in the range of 0.48…0.58. With increasing of number of stages in the module the range of acceptable changes of these values is narrowed.
In the case of output velocity loss in the intermediate stages (Kout >0) the picture somewhat changes. Increases the value of the heat drop, in which it is advisable to go to a larger number of stages, angles downstream of the intermediate stages α2j are also close to 90°. There is a decrease in the velocity ratio values vj, the exit flow angles of the guide vanes α2j-1, resulting in a slight drop in the optimum degree of reaction for the intermediate and for the last stages.
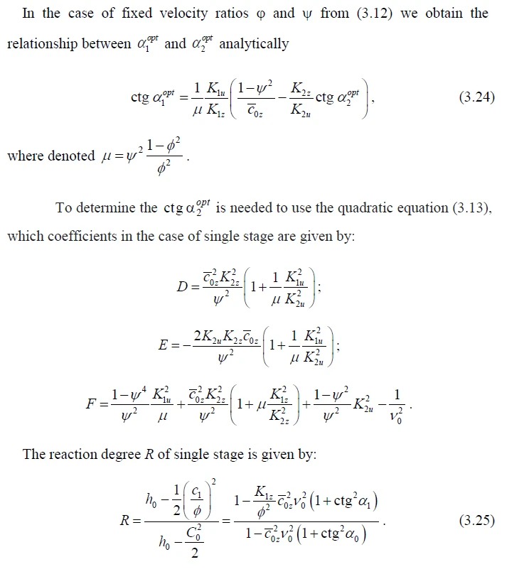
In the case of a single stage, assuming n = 1 peripheral stage efficiency is given by

In the case where φ and ψ are functions of flow parameters, for a single stage the solution of the problem of determining the optimal parameters can be simplified by using the method of successive approximations:
- Set the initial approximation φ, ψ and define the parameters for the stage using derived formulas.
- The velocity coefficients are recalculated according to the obtained parameters and calculations are renewed from the item 1.
Calculations have shown that this process converges with high accuracy in a few iterations.
To investigate the influence of dimensionless parameters on the optimum stage performance computational study was conducted under various assumptions about the loss in the stage. The velocity coefficients were taken into account as a constant or dependent of the flow parameters. In the latter case, their determination was made using simplified dependency [28] with a bit increased losses on the rotor blades:
"*" indicates required fields

















![Fig. 2. External appearance of the turbopump unit (TPU) of a RD0120 engine [3]](https://www.www-softinway-com-dead8c31.faststaging.dev/wp-content/uploads/2025/04/TPFig2.jpg)
![Figure 3: Direct-to-Chip Liquid Cooling Configuration [3]](https://www.www-softinway-com-dead8c31.faststaging.dev/wp-content/uploads/2025/04/DC-Fig-3.png)
