Dec 27, 2016
1.5 The Practice of Numerical Methods Usage for Local Leveled Optimization Problems Solution

Key Symbols
Indexes and Other Signs
Abbreviations
To solve demanded by practice of axial turbines design multi-criteria problems, multi-parameter and multi-mode optimization of the multistage flow path further development and improvement of appropriate numerical methods and approaches required.
It should be noted some features of numerical solution of problems related to the optimization of design objects based on their modes of operation, multi-modal objective functions, as well as issues related to the multi-objective optimization problems.
Some aspects of the above problems solutions are given below.
1.5.1 Solution of the Multi-Criteria Optimization Problems
Set out in section 1.4 are the basic optimization techniques. However, depending on the formulation of the optimization problem, as well as the selected design object there are some features of numerical implementation of these methods and their applications.
It is known that the actual design object is usually characterized by a number of quality indicators and improvement in one of them leads to a deterioration in values of other quality criteria (Pareto principle). In such cases it is necessary to consider the optimization problem from many criteria.
The authors offer a well-established practice in solving multi-objective optimization problems – “convolution” of partial objective function weighted by u i depending on the importance of a particular quality criteria in a comprehensive quality criteria based on the following:
where B* i the components of the vector criterion (partial indicators of quality of the object); x ⃗’d,x ⃗’p vectors of design parameters and operational parameters, respectively, which together define a design decision.
In fact, (1.37) is the magnitude of the partial criteria of quality, taking into account their weights u i .
Thus, in the n-dimensional normalized criterial space each variant of definitely best design object is characterized by a corresponding so-called Pareto point, whose distance to the center of coordinate proportional to the value of the module:
of vector quality criterion.
The experience of steam turbines cylinder optimization with the flow extraction for the purposes of regeneration and heating shows that there is needed to consider at least two criteria of quality – the efficiency of the flow of the cylinder and the power, generated by them.
1.5.2 The Numerical Solution of the Optimization Problem with the Multi-modal Objective Function
In some cases it is necessary to check the objective function on multi-modality.
In the developed subsystem of multi-criterial and multi-level multi-parameter optimization of design objects to find the optimal solution the search is always performed in two stages whether uni-modal or multi-modal objective function.
Thus, the first (preliminary) stage is used to determine suspicious extremum points, to find which method is used ideas swarm (Bees Algorithm), the first work of which were published in 2005 [5, 6]. The method is an iterative heuristic multi-agent random search procedure, which simulates the behavior of bees when looking for nectar.
The criterion for the selection of points and their respective sub-areas, in which will be specified by the relevant decision of optimization problems, is the Euclidean distance:
in the space of optimized parameters between the compared points from the set LPt sequence.
If the Euclidean distance Rab between two points of LPt sequence (x ⃗’a,x ⃗’b), less than some fixed value R set then point with the large value of the objective function is selected.
Criteria evaluation for quality and functional limitations at the preliminary stage is performed by using FMM (of the form (1.2) or (1.12)). After processing all of the set of LPt sequence points by a “swarm” algorithm suspicious extremum point are defined.
These points are then used as initial approximations of the final (refining) stage of the optimal solution finding. When refining the optimal solutions around the extremum suspicious spot, in a recursive optimize algorithm it is provided the transition from the evaluation criteria of quality and functional limitations by using FMM to their evaluation by appropriate OMM. It uses a method of coordinate descent or conjugate gradient method, for example, Fletcher-Reeves. Thus found several points of local optima are sorted by the value of the objective function, and the best solution given the status of optimal.
1.5.3 The Method of Optimization Taking into Account Turbine Operating Modes
The above (1.37) convolution vector type of the objective function allows to take into account the specific feature of the problem of optimal design of facilities intended for use as a constant, and the variable modes. In the case of optimization taking into account the variability of operating loads, function (1.37), on the one hand, carries information about the overall effectiveness of the design in all modes of operation, and on the other hand, it emphasizes the Pareto signs of the competitive effect of ‘individual’ quality criteria for each of the operating modes on the final result.
Below is a description of the developed method, which provides the solution of problems of optimum design of turbomachinery, operated at a predetermined range of modes.
This method is based on the integration of formal macro-models of the objective functions.
When included in the examination of the alleged operation modes, created FMM criteria of quality and functional limitations are functions of the design and operational parameters. Ranges of change of regime parameters are selected in accordance with the proposed schedule changes and they do not change in the course of iterations to refine the optimal solutions.
Such FMM usage at the step of finding the optimal solutions necessitates multiple evaluation of quality criteria and functionality limitations for each sampling point (corresponding to a combination of structural parameters), the number of calculations of each FMM considered equivalent to the number of operating modes. Obviously, the increased number of calculations requires additional computing resources in the search for the best design.
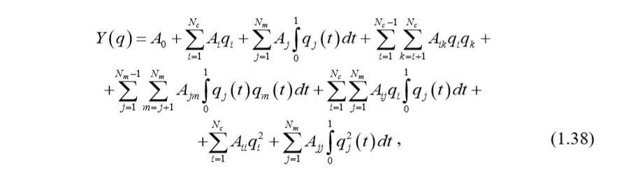
The decision of the problem marked can be achieved by eliminating the regime parameters of the vector of varied FMM parameters (1.2). To eliminate the regime parameters it is necessary to carry out the FMM integration. In this case, the new FMM coefficients of integral quality criterion obtained from the following relationship:
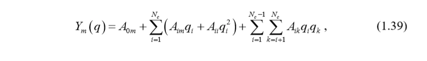
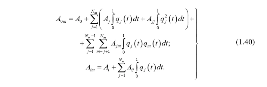
Where Nc,Nm– numbers of structural and operational parameters, respectively; t – time.
The new FMM of form (1.38) contains integrals of regime parameters, which can be calculated from the charts of regime parameters (qj (t)) and converted to the form:
FMM form (1.39) is more convenient to use in the optimization algorithms for quality criteria and functional constraints evaluation, as presented macromodel depends only on the design parameters that do not change their values when changing the operating mode of the FP. Thus, the account of the expected schedule change duty operation is performed due to the fact, that the operating parameters are integrally included in the new coefficients FMM (1.40).
"*" indicates required fields




![Fig. 2. External appearance of the turbopump unit (TPU) of a RD0120 engine [3]](https://www.www-softinway-com-dead8c31.faststaging.dev/wp-content/uploads/2025/04/TPFig2.jpg)
![Figure 3: Direct-to-Chip Liquid Cooling Configuration [3]](https://www.www-softinway-com-dead8c31.faststaging.dev/wp-content/uploads/2025/04/DC-Fig-3.png)
