Sep 26, 2018
1.3 Building Subsystems FMM
Key Symbols
Indexes and Other Signs
Abbreviations
1.3.1 FMM Basics
As noted, the FMM is an approximation of the original model, which means it can be obtained by statistical processing of the results of numerical experiment using OMM. The complexity of solving the equations of the original model forces minimize the number of sampling points, which is practically achieved by using methods of the theory of experiment design. Get the response function in the form (1.2) can, in particular, on the basis of three-level Box and Benken plans [1]. Special selection of sampling points on the boundary of the approximation:
and in its center possible in accordance with the least squares method to obtain the values of the coefficients according to (1.2), without resorting to the numerical solution of the normal equations. The number of sampling points is in the range from 13 at N = 3 to 385 at N = 16.
Similarly, relations (1.2) can also be obtained by using the three-level saturated plans by Rehtshafner [2]. In this case, the dimension of the observation vector will vary from 16 at N = 4 to 232 at N = 20. The feature of these plans is that it is the most economical plans that require a minimum number of calculations to generate a vector of observations, i.e. the number of calculations (experiments) equal to the number of the coefficients according to (1.2).
When creating subsystems FMM quality criteria, should be noted, that at lower levels increases the degree of detailed description of the design objects, which leads to an increase in the dimension of Q ⃗ k vectors. If the dimension exceeds the permissible (N = 20), or for any reason is limited, for example, due to the complexity of OMM, it can be reduced by replacing a number of components of the control parameters vector defined by the laws of their change, by numbers of the same type subsystems (objects) at the considered design level. For example, in the formal macromodelling of the multi-stage turbine flow path efficiency, may be appropriate to change the degree of reaction, disposable heat drop and so forth linearly from stage to stage. To ensure information
consistency between FMMs of adjacent levels, in a number of components of Q ⃗ k+1 should be required to include parameters that uniquely determine the position of the subsystems in the settings space of a higher k-level. It should be noted that in addressing the increasingly complex, multi-parameter, multi-mode and multi-criteria problems of optimal design increases the likelihood of multimodal objective functions. Using the dependency of the form (1.2) for the approximation of the objective functions and functional limitations in this case can lead to a decrease in the accuracy and adequacy of the obtained with its help optimal solutions for the projected objects or subsystems.
1.3.2 The Method of Improving the FMM Accuracy
The analysis of the structure of formula (1.2) shows, that its second term is a superposition of the parabola from each independent parameter that mainly determines the failure of functions of the form:
taking into account the more complex nature of real dependencies, having, for example, bends and local extremes. We will use a second member according to (1.2) to reflect the independent effect of the parameters on the approximated function, and replace it with a more perfect form of addiction. It is obvious that in the general case, the shape and structure of dependency, reflecting the influence of each parameter, is unique. Given that a priori a kind of dependency is not known, to solve this problem and ensure that the principle of universality, the second term of the form
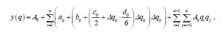
should be replaced with the superposition of interpolation cubic splines. As known, the interpolation cubic splines allow with a high degree of accuracy and adequacy to describe features of varying complexity, including multi-extremal. Thus, taking into account this replacement, the formal macromodel of the form (1.2) will be as follows:
where aij, bij, cij, dij cubic spline coefficients of current (j-th) interpolation section of the i-th independent variable. For each independent normalized variable qi there are several areas in the interpolation range between –1 and +;change in qij – the distance between the current value qi and coordinate of the initial node of j-th section of the spline, which qi coordinate value is between the initial coordinates of (j-th) and final (j + 1-th) of its nodes.
Of course, for the coefficients aij, bij, cij, dij of dependance (1.12) determination additional computational experiment is needed. This experiment carried out at the points of a normed space of independent variables qi The length of the interpolation areas and their nodes coordinates are the same for all the independent variables. The number of sections is given. The minimum required number of sections is four. In this case, an additional calculation of the objective functions at four points (1; 0.5; 0.5; 1) by each variable qi is needed.
To ensure the principle of an independent effect of each variable, other variables in the calculation are assigned by the value 0 (qj = 0 ), which corresponds to the center of the accepted range of their changes. It should also be noted that in the case of Rehtshafner’s design plans to create more accurate FMM of form (1.12) the number of computations by OMM is reduced for each independent parameter of FMM by two and equal, accordingly, two, since the other two points coincide with the points of the Rehtshafner’s plan and their corresponding calculations for OMM performed at the stage of creating a FMM of form (1.2). For clarity, in Fig. 1.3 shows a comparison of the accuracy and the adequacy of the approximation of test functions of the form:
by formal macromodel of the form (1.2) and the form (1.12).

Figure 1.3 Comparison of the accuracy of approximation of multimodal function using
formal macromodel: a – test multimodal function of the form (1.13); b – approximation
of functions of the form (1.13) using formal macromodel of the form (1.2);
c – approximation of functions of the form (1.13) using formal macromodel of
the form (1.12).
"*" indicates required fields




![Fig. 2. External appearance of the turbopump unit (TPU) of a RD0120 engine [3]](https://www.www-softinway-com-dead8c31.faststaging.dev/wp-content/uploads/2025/04/TPFig2.jpg)
![Figure 3: Direct-to-Chip Liquid Cooling Configuration [3]](https://www.www-softinway-com-dead8c31.faststaging.dev/wp-content/uploads/2025/04/DC-Fig-3.png)
